3D Geometry - 5
Equation of planes Bisecting Angle b/w Two planes:
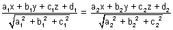
Eq. of planes bisceting angle b/w planes, a1x + b1y + c1z + d1 = 0 and a2x + b2y + c2z + d2 = 0 is,

Proof: Let P(x, y, z) be point on plane bisecting angle b/w two planes 7 PL & PM is length of
from P to planes.
By property of angle bisector.
PL = PM

[Dumb Question: How PL = PM ?
Ans: In fig 1.
OPL & OPM are congruent by AAA symmetry. So, all sides are equal.So, PL = PM.]

Note: (i) Eq. of bisector of angle b/w two planes containing origin is

(ii) Bisector of acute & obtuse angles b/w:
Let a1x + b1y + c1z + d1 = 0
& a2x + b2y + c2z + d2 = 0 where d1, d2 > 0
(a) If a1a2 + b1b2 + c1c2 > 0, origin lies in obtuse angle bisector & eq. of bisector of acute angle is

(b) If a1a2 + b1b2 + c1c2 < 0, origin lies in atute angle bisector & eq. of acute angle bisector is

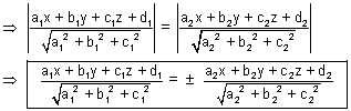
Illustration: Find eq. of bisector planes of angle b/w planes 2x + y - 2z + 3 = 0 & 3x + 2y - 6z + 8 = 0 specify obtuse & acute angle bisectors.
Ans: 2x + y - 2z + 3 = 0 & 3x + 2y - 6z + 8 = 0 where d1, d2 > 0
Now a1a2 + b1b2 + c1c2 = 2 x 3 + 1 x 2 + 2 x 6 > 0
...................................... (i)(i) is obtuse angle bisector plane
&
................................................ (ii)(ii) is acute angle bisector plane.

14x + 7y - 14z + 21 = ± 9x + 6y - 18z + 24For obtuse angle bisector plane, Take -ve sign
5x + y + 4z - 3 = 0
Intersection of line & plane:
= r & plane ax + by + cz + d = 0
Let P be point of intersection coordinate of P(x1 + lr, y1 + mr, z1 + nr)
But it satisfy eq. of plane.
a(x1 + lr) + b(y1 + mr) + c(z1 + nr)

Condition for line to be || to a plane:
be || to plane ax + by + cz + d = 0if al + bm + cm = 0 or sin
= 0Condition for a line to lie in the plane:
line
lie in plane ax + by + cz + d = 0if al + bm + cn = 0 & ax1 + by1 + cz1 + d = 0
Dumb Question: How line be || to plane if al + bm + cn = 0 ?
Ans: If
is angle b/w line & plane, thensin
=
[Previously desired]line is || to plane if sin
= 0 or al + bm + cn = 0Sphere:
Equation of sphere whose centre is
& radius is a:
In
OPC, 
|
-
| = CP = a (radius)
|
-
|2 = a2
(
-
).(
-
) = A2
R2 - 2
.
+ c2 = a2
r2 - 2
.
+ (c2 - a2) = 0Cartesian Form:

From Fig. CP = R
CP2 = R2
By distance formula.
(x - a)2 + (y - b)2 + (z - c)2 = R2
GEneral eq. of sphere:
x2 + y2 + z2 + 2ux + 2vy + 2wz + d = 0 is a sphere with centre (- u, - v, - w) &
radius =

Illustration: Find centre & radius of sphere 2x2 + 2y2 + 2z2 - 2x - 4y + 2z + 3 = 0
Ans: 2x2 + 2y2 + 2z2 - 2x - 4y + 2z + 3 = 0
or x2 + y2 + z2 - x - 2y + z +
= 0centre is (-
coeff. of x, -
coeff. of y, -
coeff. of z)
centre (
, 1, -
)radius =

Thus sphere is point circle.
Diameter form of Eq. of sphere:
Vector Form: Suppose
&
be P.V of extremities A & B of diameter AB of sphere. Let
be P.V. of any point P on sphere. Then,
=
-
& B
=
- 

Since, diameter of sphere subtends a right
at any point of sphere.
APB =
.
= 0
(
-
).(
-
) = 0
|
|2 - (
+
).
+
.
= 0or AP2 + BP2 = AB2
| - |2 + | - | = | - |2 |
Cartesian Form: If A(x1, y1, z1) & B(x2, y2, z2) are extremities of diameter then, eq. of sphere is (x - x1)(x - x2) + (y - y1)(y - y2) + (z - z1)(z - z2) = 0
Section of sphere by plane:
If sphere is intersection by a plane. We get circle by intersection.

PM is radius of circle
PM =

Condition of Tangency of plane to a sphere:
Vector Form: Plane
.
= d touches sphere |
-
| = Rif
= RDumb Question: Why
= R ?Ans: A plane touches to sphere if
distaqnce from centre of sphere is equal to radius.Cartesian Form: Plane ln + my + nz = p touches (ul + vm + wn + p)2 = (l2 + m2 + n2)(u2 + v2 + w2 -d)
Illustration: Find eq. of sphere whose centre has P.V.
& which touches plane
.
= 10Ans: Center =

It touches plane
.
= 10
eq. of sphere |
-
| = 
Easy Type
Q.1. Find ratio in which 2x + 3y + 5z = 1 divides line joining the points (1, 0, 2) & (1, 2, 5)
Ans: Let the ratio be k = 1 at point P
Then, P =
must satisfy 2x + 3y + 5z = 1
2(K + 1) + 6K + 25K + 10 = K + 1
K + 1 + 6K + 25K + 10 = 0
32K + 11 = 0
K = 
Thus line divides externally in rstio of 11:32